• Предмет: Алгебра
  • Автор: Ududud11
  • Вопрос задан 8 лет назад

Пожалуйста, можете объяснить номер 239,240. Не решить! А объяснить на одном из примерах.

Приложения:

Ответы

Ответ дал: laughterprovider
1

Ответ:

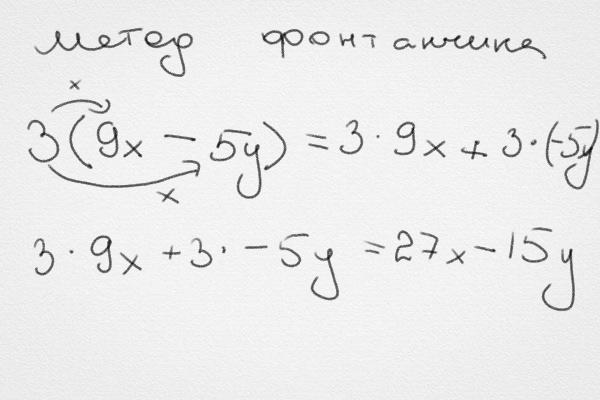
Для того чтобы решить №240, нужно воспользоваться формулами сокращенного умножения, а именно квадрат суммы и квадрат разности, для того чтобы раскрыть скобки, а также нам понадобится раскрыть скобки методом фонтанчика:

Для того чтобы решить №239, нужно возвести всё уравнение в квадрат и решить.

Приложения:

Ududud11: Спасибо!
Вас заинтересует