• Предмет: Алгебра
  • Автор: zemlakovatana2
  • Вопрос задан 8 лет назад

допоможіть будь ласка​

Приложения:

Ответы

Ответ дал: Аноним
1

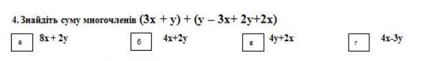
(3x+y)+(y-3x+2y+2x)=3x+y+(3y-x)=3x+y+3y-x=2x+4y


zemlakovatana2: Спасибо
Вас заинтересует