• Предмет: Алгебра
  • Автор: mansurovbunyod700
  • Вопрос задан 8 лет назад

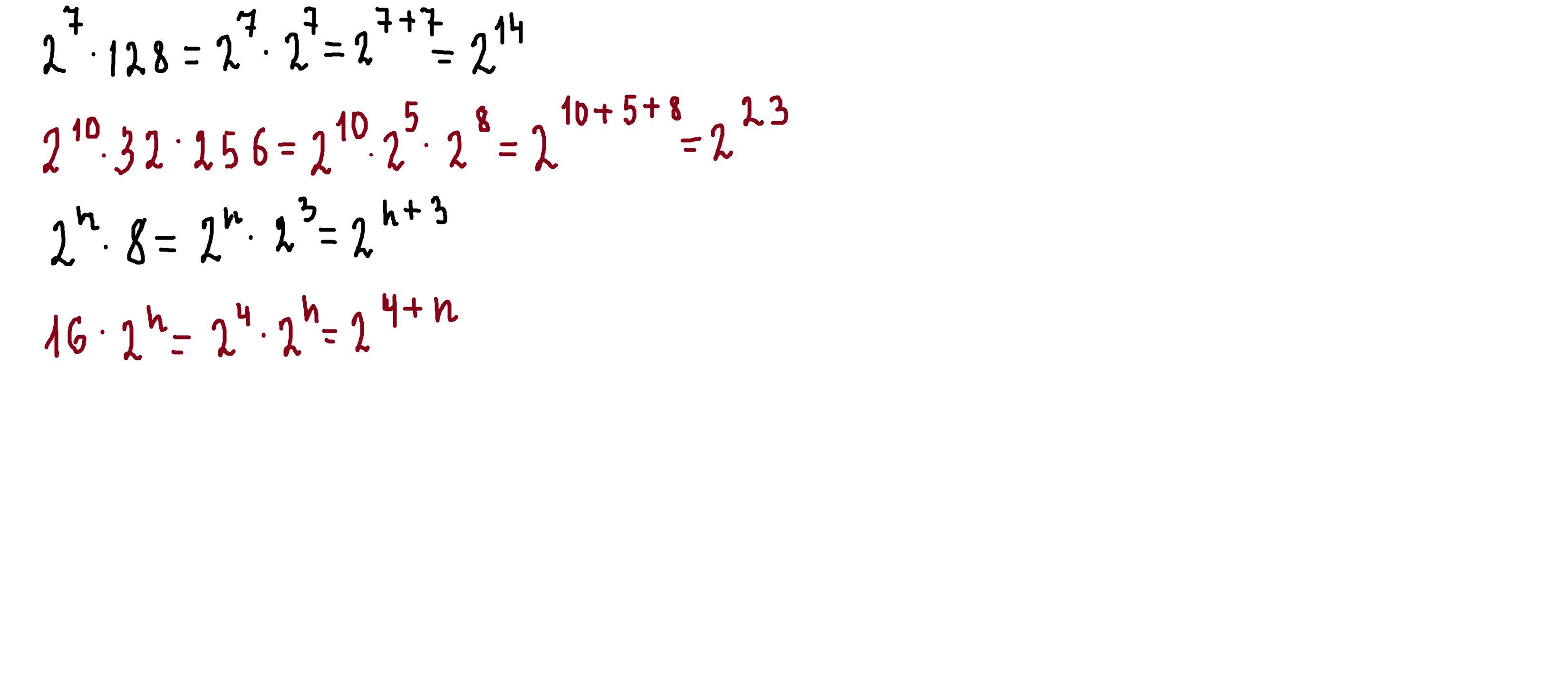
1)2⁷*128 2)2¹⁰*32*256 3) 2n*8 4) 16*2n (n — натуральное число) запишите в виде степени с основанием 2​

Ответы

Ответ дал: morziaomarova
1

Объяснение:

*Типа годное объяснение*

Приложения:
Ответ дал: parus77
4

Ответ:

Объяснение:

решение  внизу

Приложения:
Вас заинтересует