• Предмет: Математика
  • Автор: Yliianna
  • Вопрос задан 7 лет назад

Помогите пожалуйста, 6 клас!

Приложения:

Ответы

Ответ дал: tupayal0l
2

Ответ:

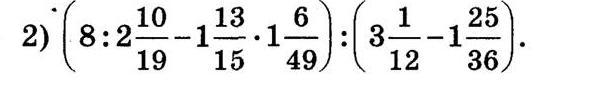
(8:48/19-28/15*55/49):(37/12-61/36)

(8*19/48-4/3*11/7):25/18

(19/6-44/21)*18/25 (при деление переворачивается)

15/14*18/25

3/7*9/5

ответ : 27/35

/-дробь

Ответ дал: iramazurk
1

Ответ:

Пошаговое объяснение:

1) 8 : 2. 10/19 = 8 : 48/19 =

8 * 19/48 = 1 * 19/6 = 19/6 =

3. 1/6

2) 1. 13/15 * 1. 6/49 =

28/15 * 55/49 = 4/3 * 11/7 = 44/21 = 2. 2/21

3) 3. 1/6 - 2. 2/21 =

3. 7/42 - 2. 4/42 = 1. 3/42 =

1. 1/14

4) 3. 1/12 - 1. 25/36 =

3. 3/36 - 1. 25/36 =

2. 39/36 - 1. 25/36 =

1. 14/36 = 1. 7/18

5) 1. 1/14 : 1. 7/18 =

15/14 : 25/18 = 15/14 * 18/25 = 3/7 * 9/5 = 27/35

Ответ: 27/35

Вас заинтересует