• Предмет: Алгебра
  • Автор: avdimireckirill
  • Вопрос задан 7 лет назад

Sos даю 100б
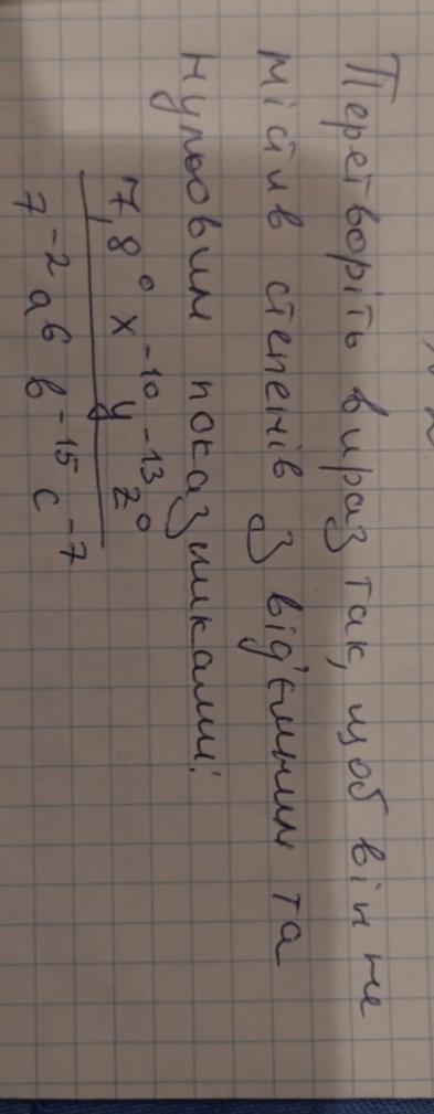
7.8^0 х^-10 у^-13 z^0/7^-2 a^6 в^-15 с^-7=
Вопрос на фотке

Приложения:

avdimireckirill: Очень сложный ?
avdimireckirill: Пожалуйста побыстрее

Ответы

Ответ дал: kapysva
1

Объяснение:

 \frac{ {7.8}^{0} {x}^{ - 10}  {y}^{ - 13}   {z}^{0} }{ {7}^{ - 2} {a}^{6}  {b}^{ - 15}   {c}^{ - 7} }  =  \frac{1 \times  {7}^{2}   \times {b}^{15}  \times  {c}^{7}  \times 1}{ {a}^{6} \times   {x}^{10}  \times  {y}^{13} }  =  \frac{49 {b}^{15}  {c}^{7} }{ {a}^{6} {x}^{10}   {y}^{13} }

Вас заинтересует