Помогите пожалуйста
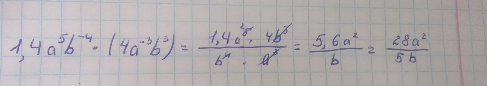
Упростите выражение 1,4a5b-4-(4a-3b3),
Избавившись от отрицательных степеней
Выражение на фото
Приложения:

Ответы
Ответ дал:
1
Ответ:
Избавившись от отрицательных степеней
Объяснение:
Ответ на фото
Приложения:

Вас заинтересует
2 года назад
2 года назад
3 года назад
3 года назад
8 лет назад
8 лет назад
9 лет назад