• Предмет: Алгебра
  • Автор: sgrechanik15
  • Вопрос задан 7 лет назад

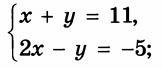
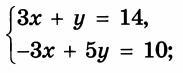
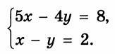
Решить системы методом алгебраического сложения

Приложения:

Ответы

Ответ дал: OblivionFire
2

1)~~~+\displaystyle \left \{ {{x+y=11} \atop {2x-y=-5}} \right. \\----------\\3x=6~;~x=6:3=2.\\\\2+y=11~;~y=11-2=9~~\Rightarrow OTVET~:~(2~;~9).\\\\\\\\2)~~~~+\left \{ {{3x+y=14} \atop {-3x+5y=10}} \right.\\---------------\\6y=24~;~y=24:6=4.\\\\3x+4=14~;~3x=14-4~;~3x=10~;~x=\frac{10}{3}  =3\frac{1}{3} ~~~\Rightarrow~~OTVET~:~(3\frac{1}{3} ~;~4).\\\\\\3)~~~~\left \{ {{5x-4y=8} \atop {x-y=2~~~|*(-5)}} \right. \\\\+\left \{ {{5x-4y=8} \atop {-5x+5y=-10}} \right. \\----------\\y=-2.\\\\5x-4*(-2)=8;\\5x+8=8;\\5x=8-8;\\5x=0~~~|:5;\\x=0~~~\Rightarrow~~OTVET~:~(0~;~-2).

Вас заинтересует