• Предмет: Алгебра
  • Автор: elenapereverzeva1662
  • Вопрос задан 7 лет назад

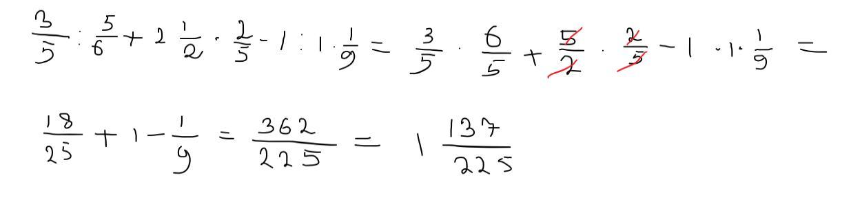
Вычислить пожалуйста помогите 3/5:5/6+2 1/2×2/5-1:1 1/9=


darynrakhay: напиши на тетради а то тут непонятно. тогда может отвечу

Ответы

Ответ дал: btstaetae997
0

Ответ:

на фото

Объяснение:

если что, пиши)

Приложения:
Вас заинтересует