• Предмет: Математика
  • Автор: mikayilmemedzade472
  • Вопрос задан 7 лет назад

помогитеееееееееее пжпжпжжпжпжп

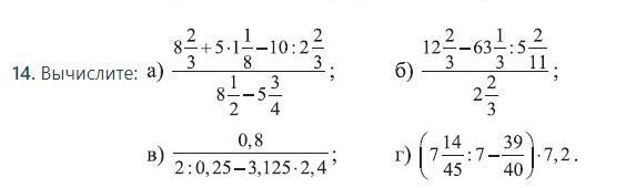
Приложения:

Аноним: баллов мало заданий много. делай сам

Ответы

Ответ дал: djdosjsb
1

Ответ:

а)

 \frac{13}{6}

б)

 \frac{171}{44}

это надо укоротить :з

в)

 -  \frac{4}{35}

г)

 \frac{1}{2}

Пошаговое объяснение:

надо больше баллов за такое задание

Вас заинтересует