Срочно!!!!!1) Обчисліть масу кристала певної сполуки, у якому міститься 80 г атомів Оксигену, якщо масова частка Оксигену в ній становить 48%
2) Обчисліть масу атомів Натрію, що міститься в 20 г питної соди , яка має формулу NaHCO3.
Ответы
Ответ дал:
2
Ответ:
Вот вродиде так:
Объяснение:
Приложения:

Ответ дал:
1
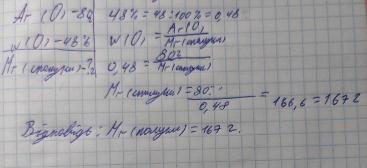
Відповідь:
Пояснення:
Приложения:

Вас заинтересует
2 года назад
2 года назад
3 года назад
3 года назад
8 лет назад
9 лет назад