• Предмет: Математика
  • Автор: liza215172
  • Вопрос задан 7 лет назад

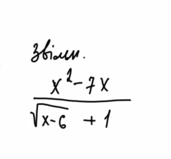
звільнитися від ірраціональності помогите пожалуйста!!!!

Приложения:

Ответы

Ответ дал: mishania6678
0

Ответ:

Пошаговое объяснение:

В таких випадках треба домножити чисельник і знаменник дробу на спряжене. В цьому випадку на \sqrt{x-6}  - 1

Маємо:

\frac{x^{2}-7x}{\sqrt{x-6}+1}  = \frac{(x^{2}-7x)(\sqrt{x-6}-1)}{(\sqrt{x-6}+1)(\sqrt{x-6}-1)}= \frac{x^{2}\sqrt{x-6}-7x\sqrt{x-6}-x^{2}+7x}{(\sqrt{x-6})^{2}-1^{2}}=\frac{x^{2}\sqrt{x-6}-7x\sqrt{x-6}-x^{2}+7x}{x-7}

Вас заинтересует