• Предмет: Алгебра
  • Автор: nagurnayaksuhsa
  • Вопрос задан 8 лет назад

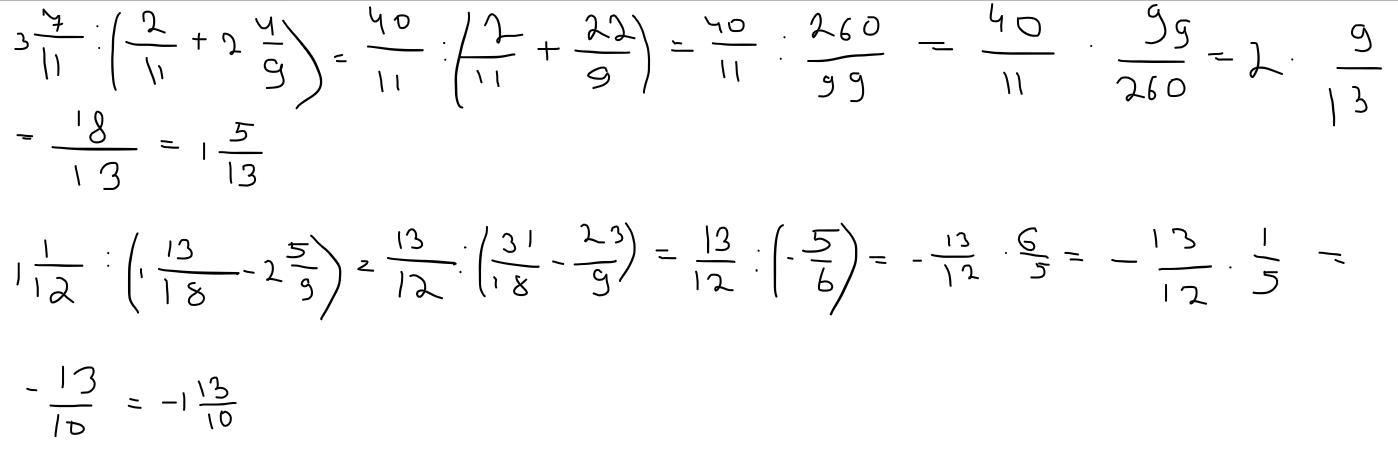
10 БАЛЛОВ!!!! СРОЧНО!!!!! решите пожалуйста подробно​

Приложения:

Ответы

Ответ дал: btstaetae997
1

Ответ:

на фото

Объяснение:

удачи!!!

Приложения:
Вас заинтересует