• Предмет: Алгебра
  • Автор: Andrey124225
  • Вопрос задан 7 лет назад

Помогите решить 50 балов

Приложения:

Ответы

Ответ дал: bena20193
0

Ответ:

Объяснение:

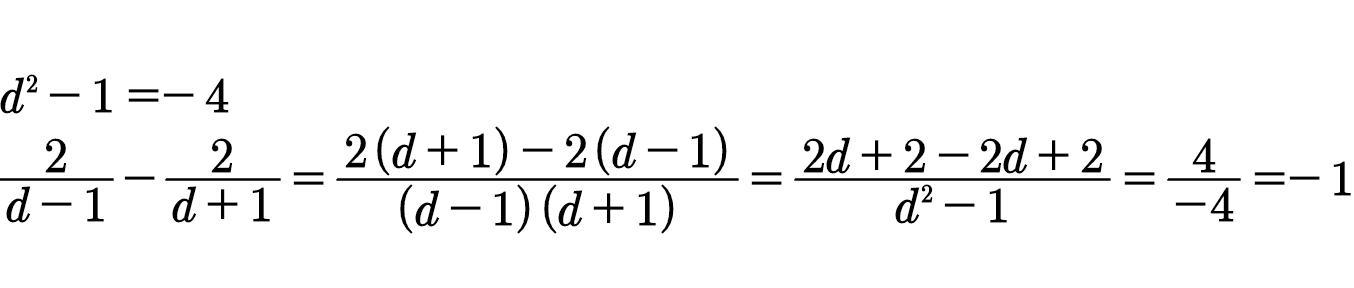
  2             2

------   -  -------- =

d-1          d+1  

       d+1-(d-1)

= 2( -------------)=

       (d-1)(d+1)  

       d+1-d+1          2*2         4

= 2( -------------)= ----------- = ------- = -1

        d²-1²             d²-1         -4

Ответ дал: tamarabernukho
0

Ответ:

-1

Объяснение:

..........................

Приложения:
Вас заинтересует