• Предмет: Алгебра
  • Автор: 123dedwe5
  • Вопрос задан 7 лет назад

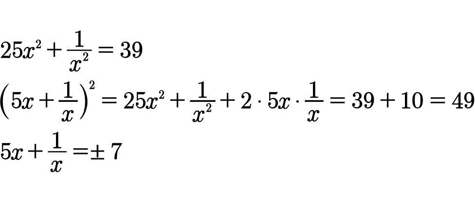
Известно, что 25x^2+1/x^2=39 Найдите значение выражения 5x+1/x

Ответы

Ответ дал: tamarabernukho
3

Ответ:

Объяснение:

..........................

Приложения:
Вас заинтересует