• Предмет: Математика
  • Автор: pahotnovakata
  • Вопрос задан 7 лет назад

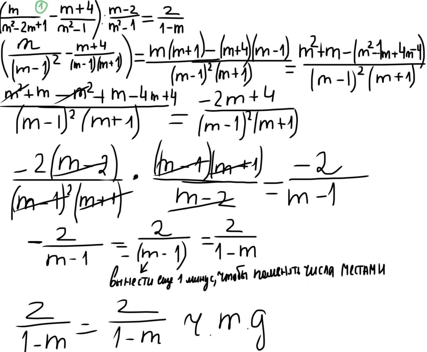
докажите тождество,заранее спасибо.​

Приложения:

Ответы

Ответ дал: PionerkaN
1

решение во вложении ~~

///

(отдельная благодарочка за отметку лучшего ответа)

Приложения:

pahotnovakata: спасибо,вы меня спасли♡♡♡
Вас заинтересует