• Предмет: Алгебра
  • Автор: mikhazakharov99
  • Вопрос задан 7 лет назад

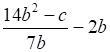
Найти значение выражения, предварительно упростив:
при b = 0,5; c = –14.

Приложения:

Ответы

Ответ дал: irinavasman1980
1

Ответ:

4

Объяснение:

\frac{14b^{2}-c }{7b}-2b= \frac{14b^{2}-c -2b*7b}{7b}=\frac{14b^{2}-c-14b^{2}  }{7b}= \frac{-c}{7b} = \frac{-(-14)}{7*0,5}=\frac{14}{3,5}=4

Ответ дал: OblivionFire
0

\displaystyle \frac{14b^2-c}{7b} -2b=\frac{14b^2-c-14b^2}{7b} =\frac{-c}{7b} ;\\b=0,5~~~;~~~c=-14\Rightarrow\\\frac{-(-14)}{7*0,5} =14:3,5=\boxed{4} .

Вас заинтересует