• Предмет: Алгебра
  • Автор: mikhazakharov99
  • Вопрос задан 8 лет назад

5. Найдите допустимые значения переменной в выражении:
А)
Б)
В)

Приложения:

Ответы

Ответ дал: ZlataSergeeva2000
1

Решение:

1.

Выражение

\dfrac{m+4}{7}

Допустимые значения переменной

m ∈ (-∞; +∞)

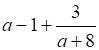
2.

Выражение

a - 1 + \dfrac{3}{a+8}

Знаменатель дроби не может быть равным нулю, то есть

а + 8 ≠ 0

а ≠ -8

поэтому допустимые значения переменной

a ∈ (-∞; -8)∪(-8; +∞)

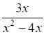
3.

Выражение

\dfrac{3x}{x^2 - 4x}

Знаменатель дроби не может быть равным нулю, то есть

х² - 4х ≠ 0

x · (x - 4) ≠ 0

x ≠ 0 и x ≠ 4

поэтому  допустимые значения переменной

х∈ (-∞; 0)∪(0; 4)∪(4; +∞)

Вас заинтересует