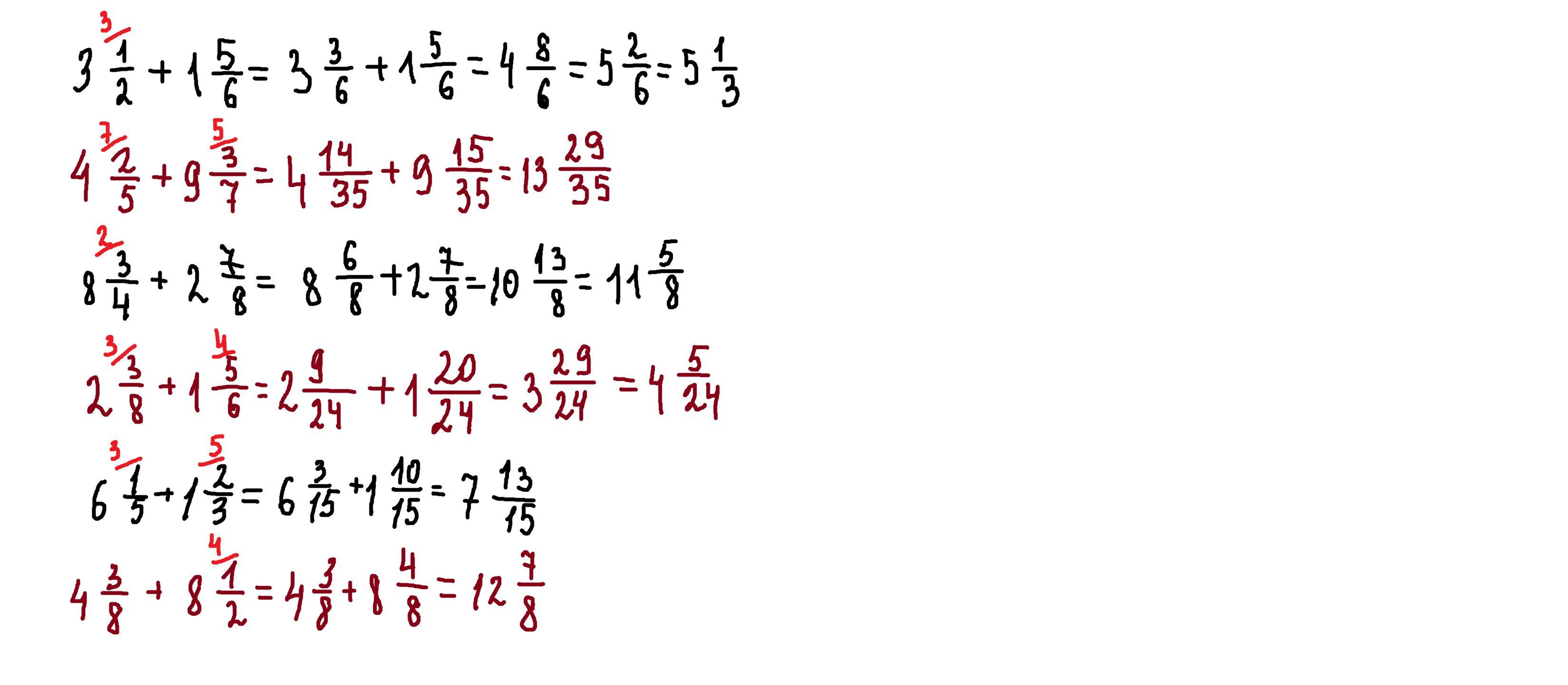
534. Выполните сложение смешанных чисел






alfiabeisenbayeva:
Прошу, начальные классы, не пишите мне, если не знаете, прошу вас, отвечают средние классы
Ответы
Ответ дал:
3
Ответ:
Пошаговое объяснение:
Приложения:

Ответ дал:
3
Ответ:
Пошаговое объяснение:
решение примеров внизу
Приложения:

Вас заинтересует
2 года назад
3 года назад
9 лет назад