• Предмет: Математика
  • Автор: k1sha
  • Вопрос задан 7 лет назад

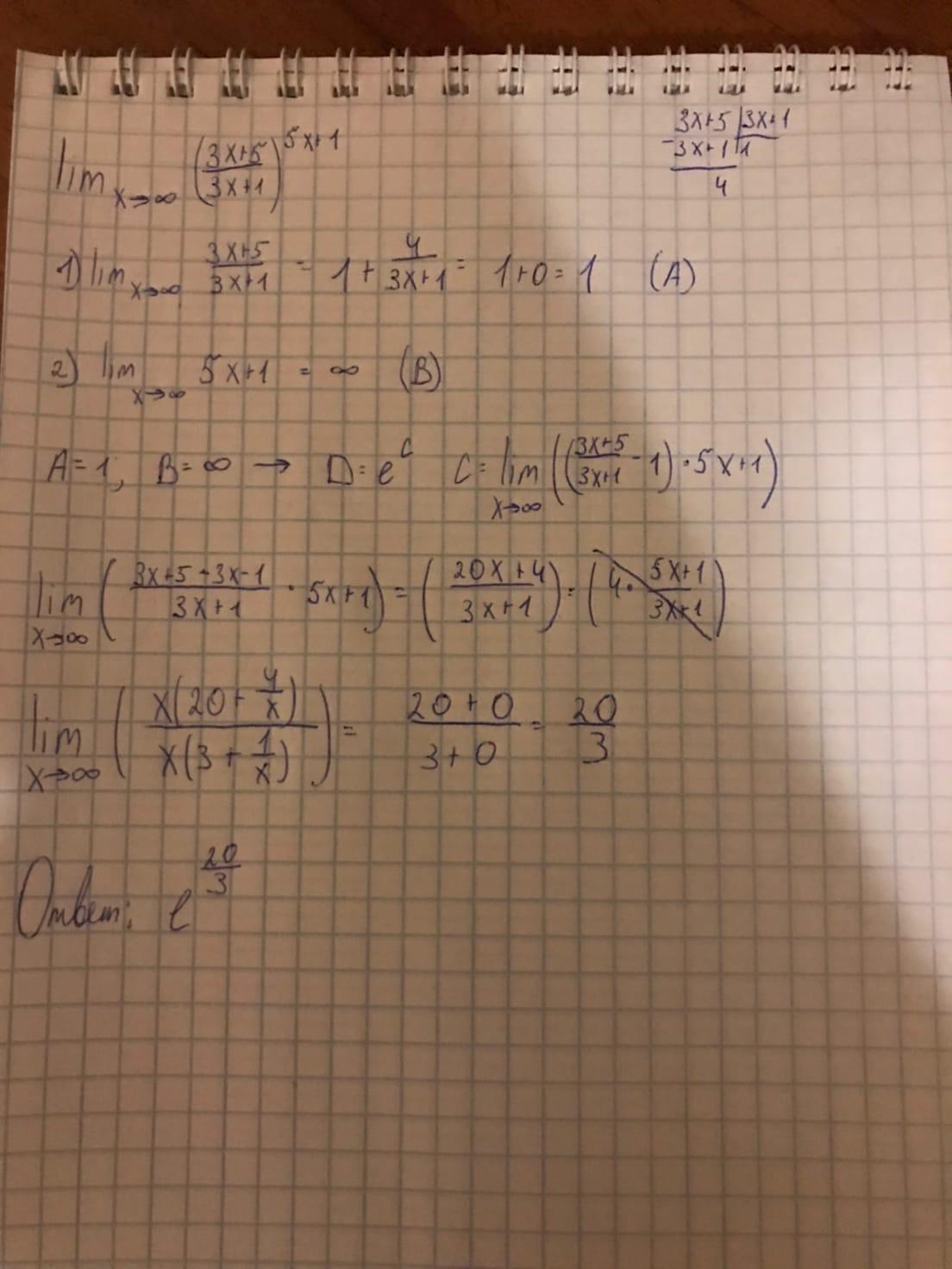
Помогите найти предел функции, НЕ пользуясь правилом Лопиталя!
\lim_{x \to \infty} (\frac{3x+5}{3x+1} )^{5x+1}


BlackRider111: А ты правильно записал функцию?
GoodAlexandr: да

Ответы

Ответ дал: GoodAlexandr
1

Ответ:

Ответ ,надеюсь, буду верным. Если нет, то можете в комментариях, как правильно

Пошаговое объяснение:

Приложения:
Вас заинтересует