• Предмет: Алгебра
  • Автор: lonelycloud00
  • Вопрос задан 7 лет назад

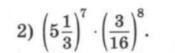
алгебра, 7 класс.
помогите решить, как понял, вроде будет 15, но не уверен.

Приложения:

Ответы

Ответ дал: parus77
0

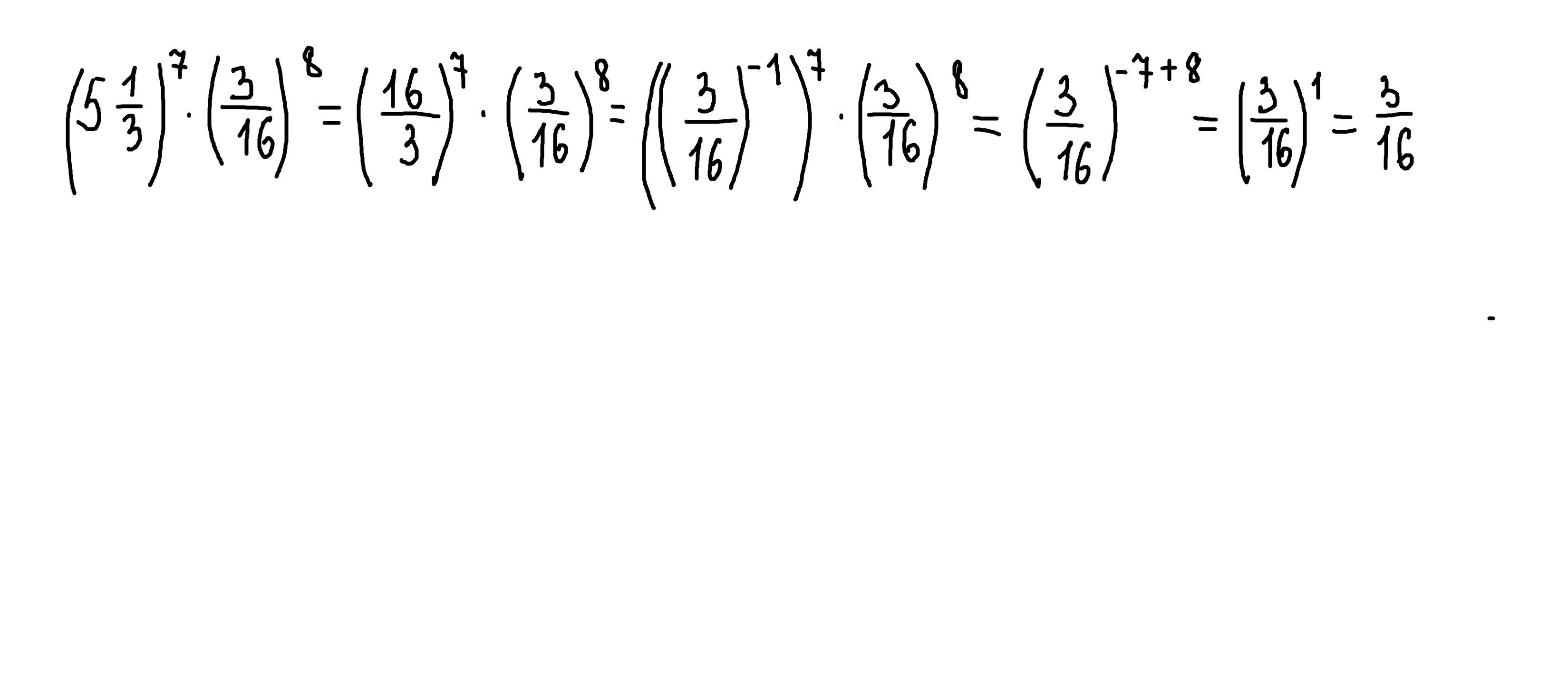
Ответ:

3\16

Объяснение:

решение внизу

Приложения:
Вас заинтересует