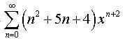
Ответы
Пошаговое объяснение:
Первое решение состоит из двух фоток, (там стоит номерация решений задачи) -
И тааак.
1. Упростим выражение
2. Раскрыть скобки
3. Вычислить
4. Представить в виде произведения
5. Преобразовать выражение
6.... Преобразовать... Выражение..?
7. Уберём знак модуля
8. Найдём значение
9. Вычислим произведение
10. Запишем неравенство
11. Преобразовать выражение.
12. Упростить неравенство
13. Радиус сходимости R = 1
И так второе решение довольно странное но мне кажется верное.
(третье фото)
1. Раскрыть скобки, вычислить
2. Вычислить, упростить
3. Представить в виде произведения
4. Преобразовать выражение
5... Преобразовать выражение..?
6. Уберём знак модуля
7. Найдём значение
8. Вычислим произведение
9. Запишем неравенство
10. Радиус сходимости R = 1


