• Предмет: Химия
  • Автор: dailiet
  • Вопрос задан 7 лет назад

ПОМОГИТЕ С ЗАДАЧАМИ (30Б)
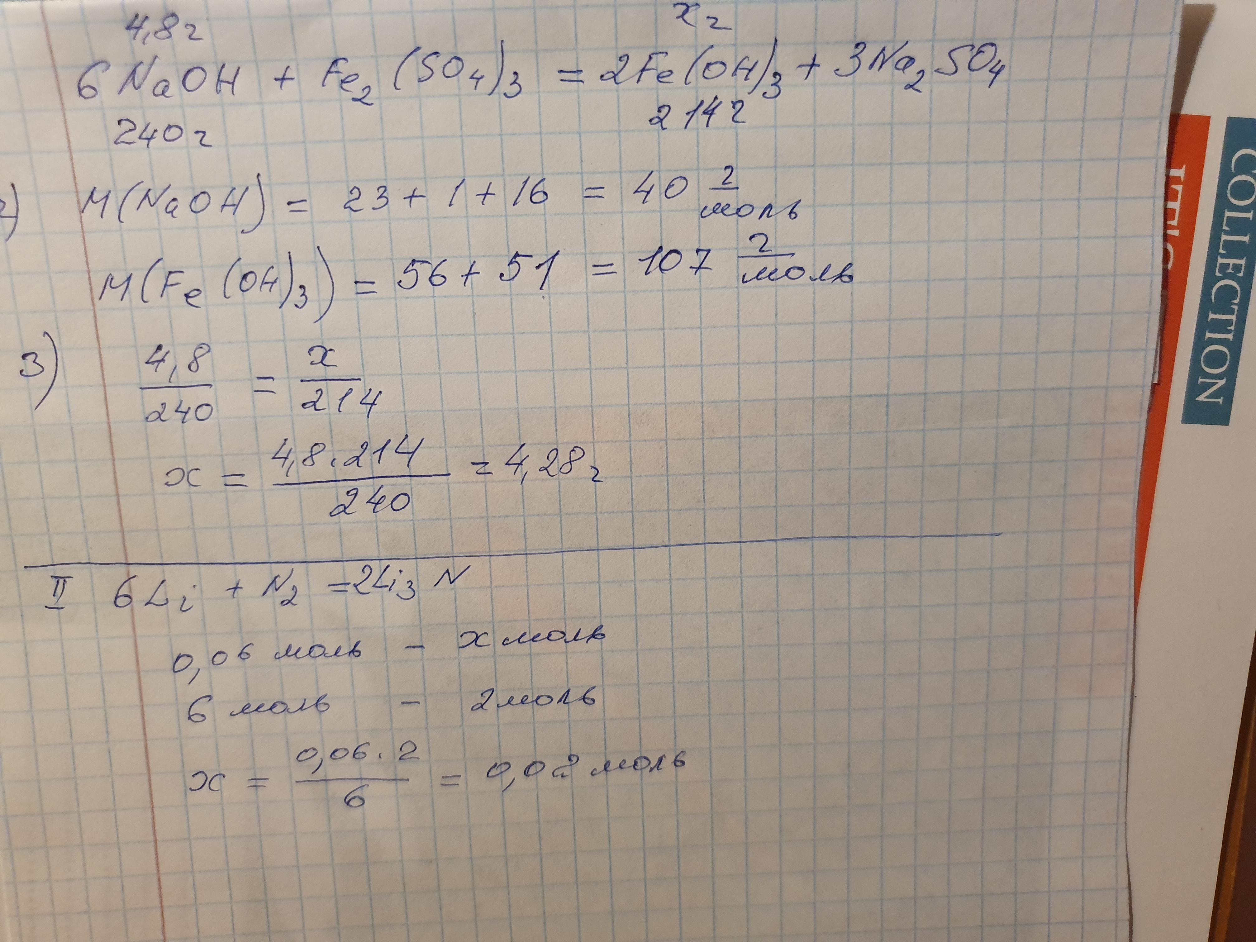
1)При взаимодействии гидроксида натрия с сульфатом железа(III) образуются гидроксид железа(III) и сульфат натрия:
6NaOH + Fe2(SO4)3 → 2Fe(OH)3 + 3Na2SO4.

Вычисли, какая массa гидроксида железа(III) образуется при взаимодействии сульфата железа(III) с 4,8 г гидроксида натрия.

Ответ приведи с точностью до второго знака после запятой.
Ответ: m(Fe(OH)3)=
г.





2)При взаимодействии лития с азотом образуется нитрид лития: 6Li+N2→2Li3N.

Вычисли, какое количество вещества лития вступило в реакцию , если образовалось 0,06 моль нитрида лития .

Ответ впиши с точностью 2 знака после запятой.
Ответ: n(Li)=
моль.

Ответы

Ответ дал: alexlar30
1

Ответ:

1) 4,28 г Fe(OH)3

2) 0,02 моль Li3N

Объяснение:

На фото

Приложения:
Вас заинтересует