• Предмет: Алгебра
  • Автор: oleg345218456
  • Вопрос задан 7 лет назад

ДАЮ 100 БАЛОВ
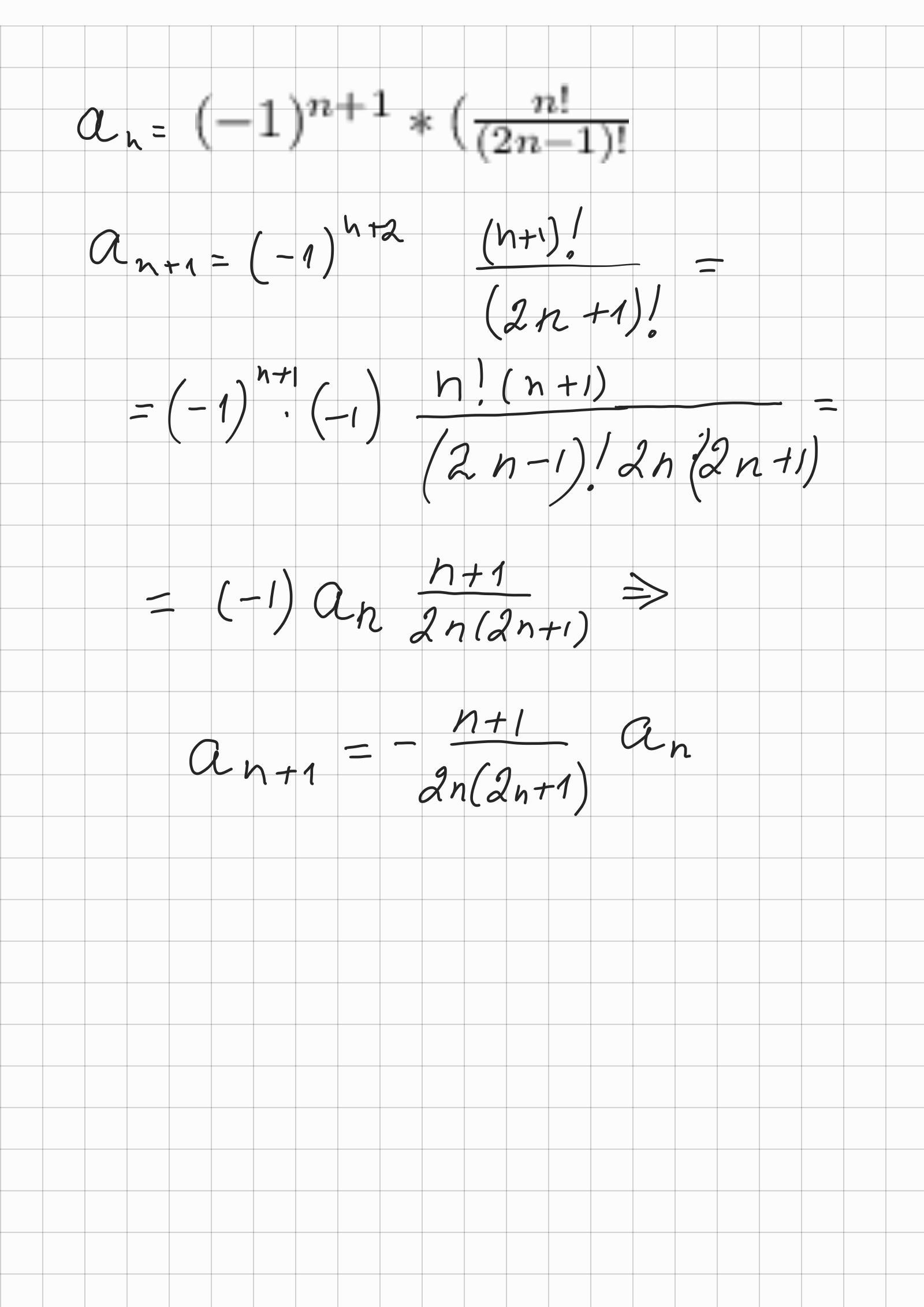
нужно из явного выражения преобразовать в рекуррентное соотношение
ФОРМУЛА (-1)^{n+1}*(\frac{n!}{(2n-1)!}

Ответы

Ответ дал: olgaua64
1

Відповідь:

Пояснення:

Приложения:

oleg345218456: а в последней строчке ты формулу умножаешь на аn?
oleg345218456: ??
olgaua64: Да
Вас заинтересует