• Предмет: Математика
  • Автор: maksimfikulin
  • Вопрос задан 7 лет назад

срочно! пожалуйста! ​

Приложения:

Ответы

Ответ дал: yourname1943name
0

Ответ:

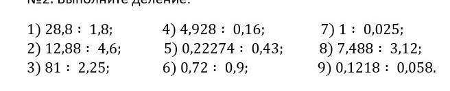
1) 16

2)2,8

3) 36

4)30,8

5)0,518

6)0,8

7)40

8)2,4

9)2,1

Пошаговое объяснение:

Вас заинтересует