• Предмет: Алгебра
  • Автор: gegheththew
  • Вопрос задан 7 лет назад

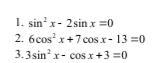
Помогите сделать алгебру,пожалуйста!!! не успеваю

Приложения:

Ответы

Ответ дал: guldana1920
1

третья задача кажется неправильный

Приложения:

gegheththew: спасибо
gegheththew: сможешь помочь с другими примерами?)
guldana1920: фото скинь
gegheththew: у меня в вопросах,всего таких 12 примеров,я их разделил на 4 разных вопроса
guldana1920: можешь скинуть, сама посмотрю
Вас заинтересует