ДАМ 20Б
Какое число надо подставить вместо a, чтобы корнем уравнения 78−(a−3x)=102 было число 10.
Ответы
Ответ дал:
1
Ответ:
a = 6
Пошаговое объяснение:
78−(a−3*10)=102
a - 30 = 78 - 102
a - 30 = -24
a = 30 - 24
a = 6
alijon333777:
Это не правильно
Ответ дал:
1
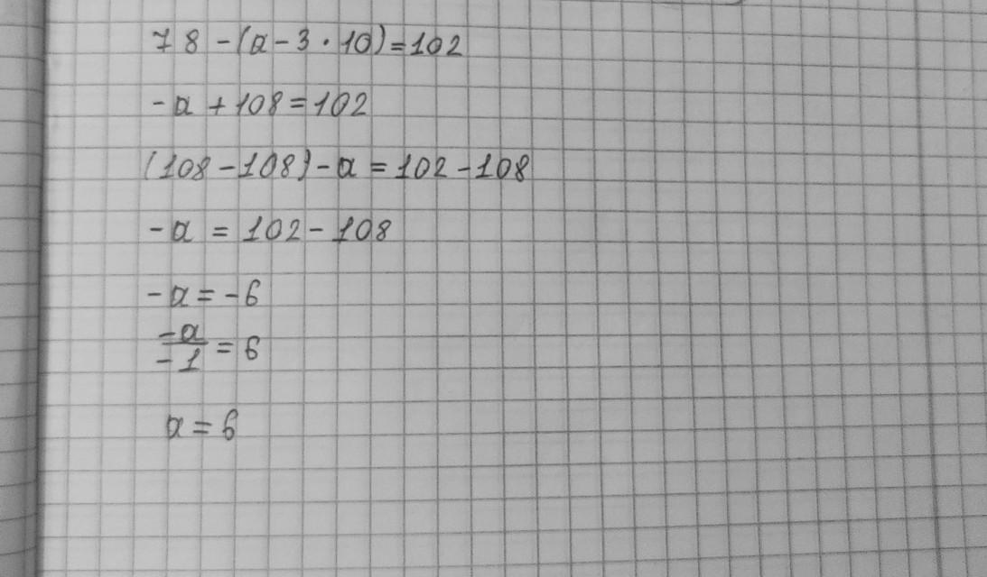
Решение на фотографии......
Приложения:

Вас заинтересует
2 года назад
3 года назад
3 года назад
8 лет назад
8 лет назад
9 лет назад
9 лет назад