Ответы
Ответ дал:
1
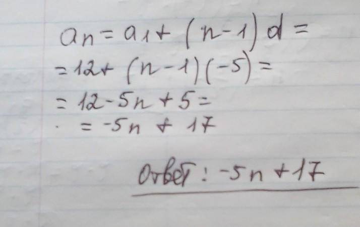
Ответ: an= -5n+17
_______
Решение на фото...
_______
Берегите себя!
Приложения:

Вас заинтересует
2 года назад
3 года назад
3 года назад
8 лет назад
8 лет назад
9 лет назад