• Предмет: Математика
  • Автор: denissro
  • Вопрос задан 7 лет назад

Помогите решить показательное уравнение!!Обязательно с решением!!

Приложения:

Ответы

Ответ дал: bb573878
1

Ответ:

Пошаговое объяснение:

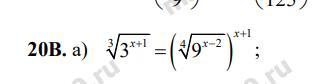
\displaystyle\\\it\\\sqrt[3]{3^{x+1}} =\Big(\sqrt[4]{9^{x-2}}\Big)^{x+1}\\\\\\3^\frac{x+1}{3}  =3^\frac{2(x-2)(x+1)}{4} \\\\\frac{x+1}{3} =\frac{(x-2)(x+1)}{2} \\\\2(x+1)=3(x-2)(x+1)\\\\2(x+1)-3(x-2)(x+1)=0\\\\(x+1)(2-3x+6)=0\\\\(x+1)(8-3x)=0\\\\x+1=0;~~x_1=-1\\\\8-3x=0;~~~3x=8;~~~x_2=\frac{8}{3} =2\frac{2}{3} \\\\Otvet:~-1;~2\frac{2}{3}

Вас заинтересует