• Предмет: Физика
  • Автор: proalive
  • Вопрос задан 7 лет назад

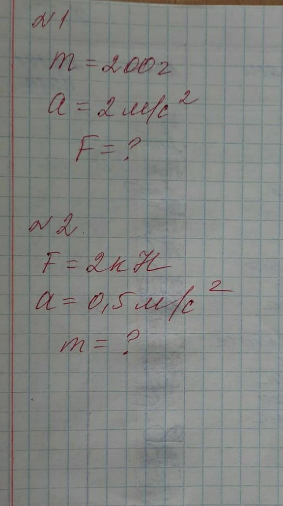
задача на фото:)))))​

Приложения:

Ответы

Ответ дал: spasitelbmolodezhi
1

По второму закону Ньютона:

a=F/m

№1

F=ma=0.2*2=0.4 Н

Ответ: 0.4 Н

№2

m= F/a=2000/0.5=4000 кг

Ответ: 4000 кг

Вас заинтересует