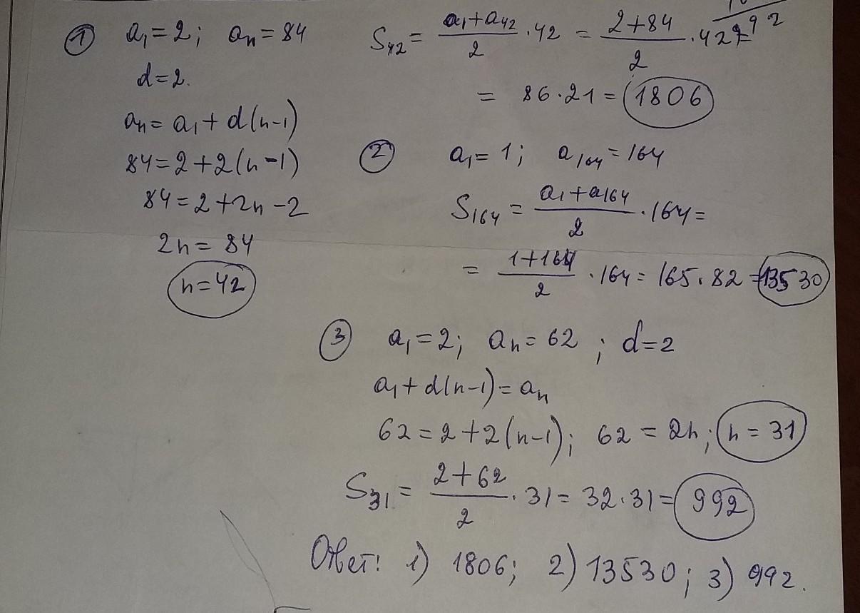
1. Чему равна сумма 84 первых четных чисел.
2.Чему равна сумма 164 первых натуральных чисел.
3.Чему равна сумма 63 первых четных чисел.
Ответы
Ответ дал:
0
Объяснение:
лалвлвлвовлвщщвщваща
Приложения:

Вас заинтересует
2 года назад
2 года назад
3 года назад
3 года назад
8 лет назад
8 лет назад
9 лет назад