• Предмет: Математика
  • Автор: odaanet335
  • Вопрос задан 7 лет назад

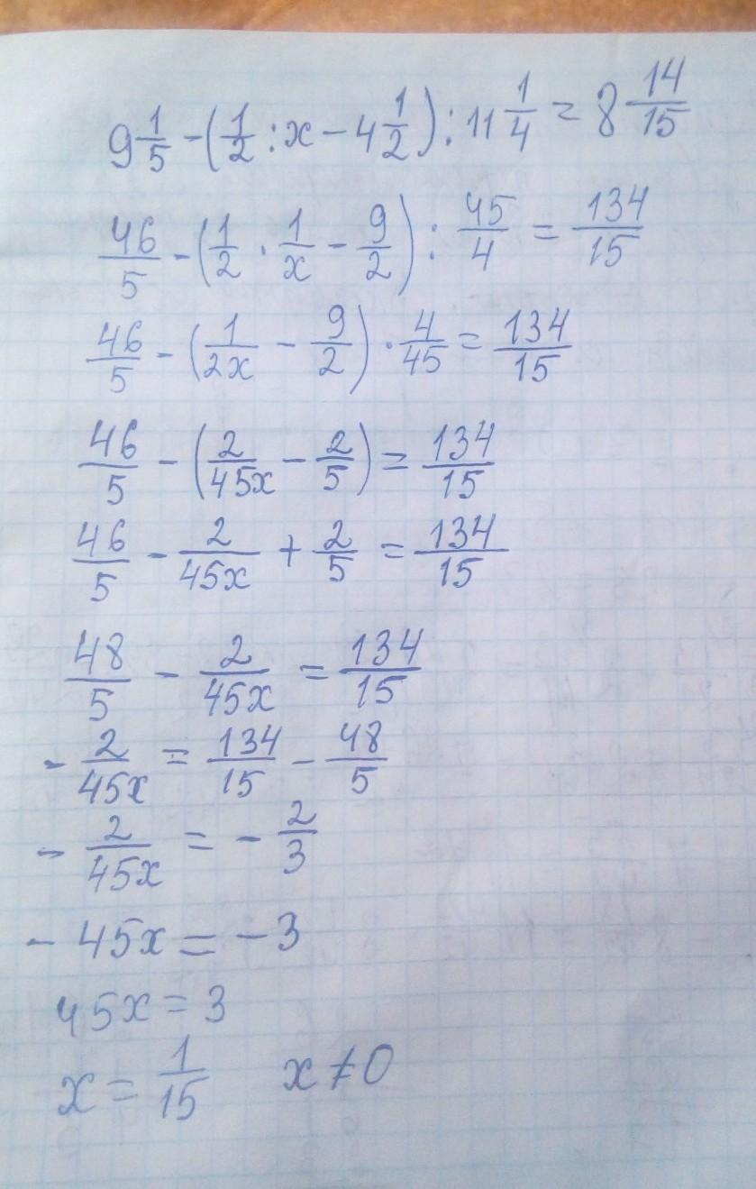
9 1/5 - (1/2:х - 4 1/2) : 11 1/4 = 8 14/15
срочно​

Ответы

Ответ дал: Elena3982
2

Пошаговое объяснение:

Надеюсь решила правильно.

Приложения:
Вас заинтересует