• Предмет: Алгебра
  • Автор: Chipoline
  • Вопрос задан 7 лет назад

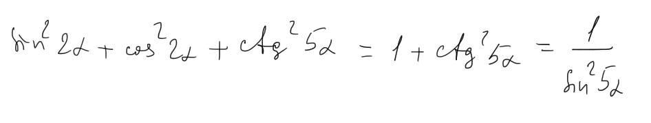
спростіть вираз sin^2 2a+cos^2 2a+ctg^2 5a​

Ответы

Ответ дал: Warlock1
1

Ответ:

....

Объяснение:

Приложения:
Вас заинтересует