Ответы
Ответ дал:
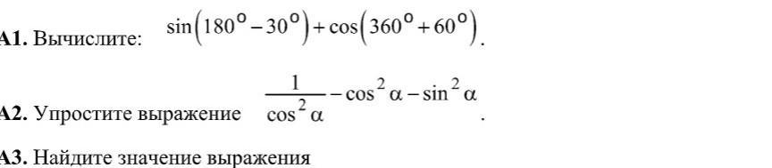
1
Объяснение:
на фото
Удачииииииииииии
Приложения:



itlesons121211:
Отметь как лучший пж.
Вас заинтересует
2 года назад
3 года назад
8 лет назад
8 лет назад
9 лет назад