помогите ,пожалуйста,я чет не понимаю
реши уравнение, используя свойства произведения
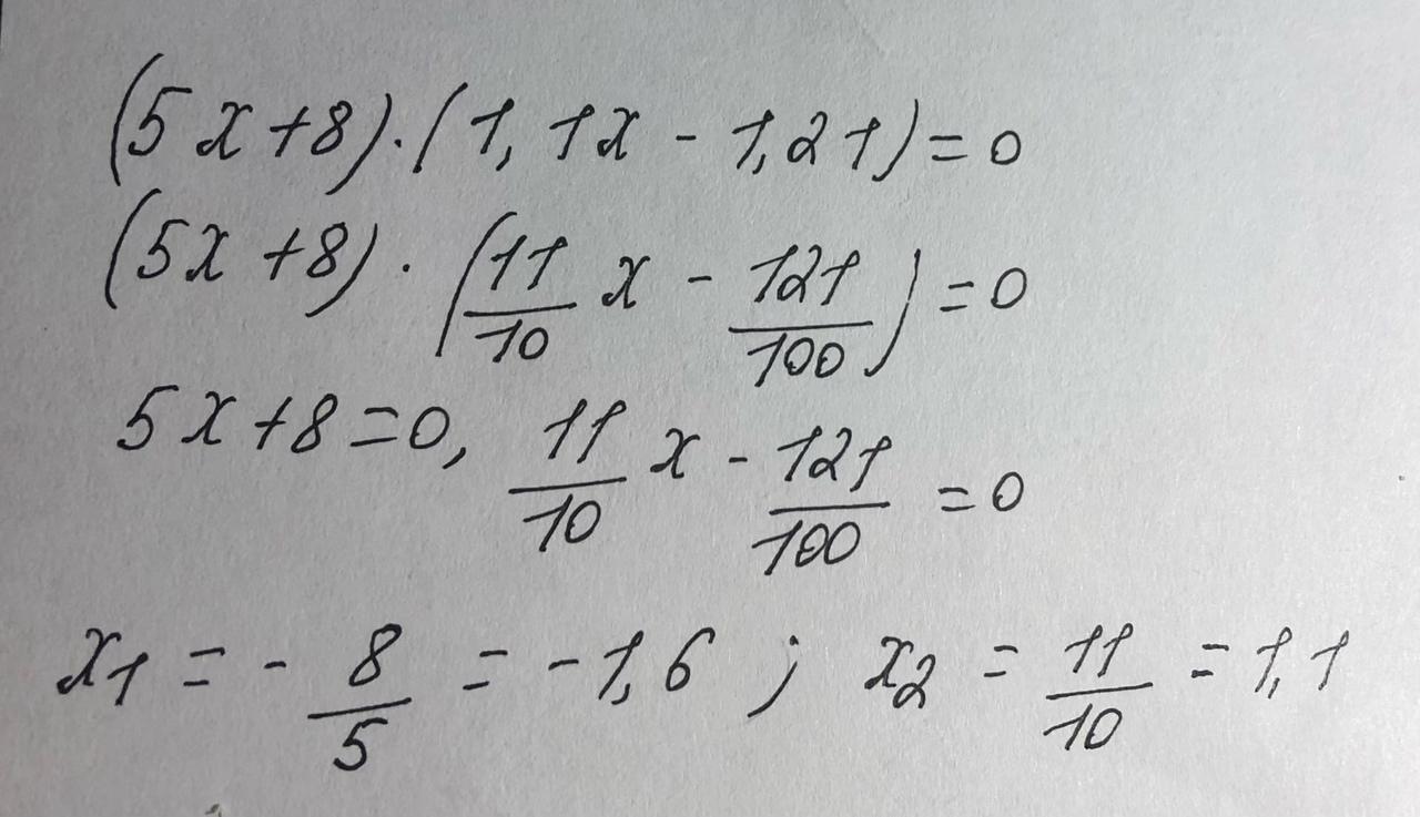
(5x+8)*(1,1x-1,21)=0
Ответы
Ответ дал:
1
ответ приведен на фото
Приложения:
payton999:
спасибоооо
Вас заинтересует
2 года назад
2 года назад
3 года назад
3 года назад
9 лет назад
9 лет назад
10 лет назад