• Предмет: Математика
  • Автор: alina84269
  • Вопрос задан 7 лет назад

ПОМОГИТЕЕЕЕ!!!!!! ДАМ 25 БАЛОВ​

Приложения:

Ответы

Ответ дал: iramazurk
1

Ответ:

Пошаговое объяснение:

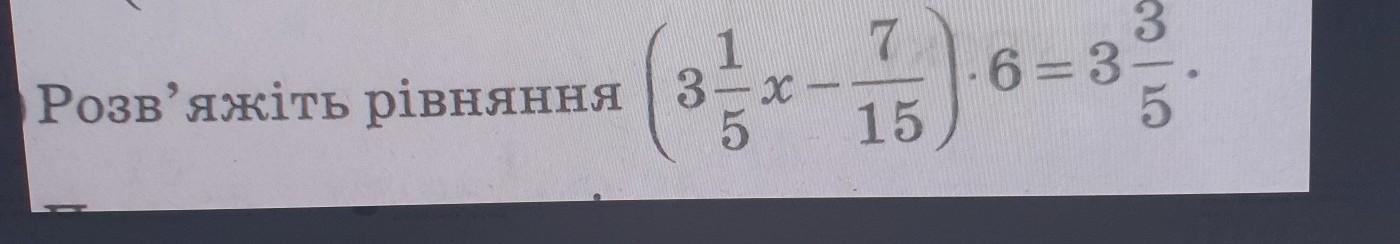
(3. 1/5х - 7/15) * 6 = 3. 3/5

3. 1/5х - 7/15 = 3. 3/5 : 6

3. 1/5х - 7/15 = 18/5 : 6

3. 1/5х - 7/15 = 18/5 * 1/6

3. 1/5х - 7/15 = 18/30

3. 1/5х - 7/15 = 9/15

3. 1/5х = 9/15 + 7/15

16/5х = 16/15

х = 16/15 : 16/5

х = 16/15 * 5/16

х = 5/15

х = 1/3

Вас заинтересует