• Предмет: Алгебра
  • Автор: Timka100600
  • Вопрос задан 7 лет назад

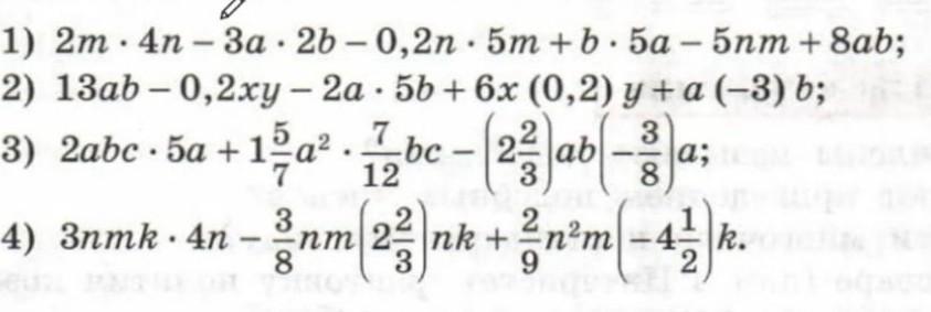
Помогите пожалуйста! ​

Приложения:

Ответы

Ответ дал: rahimbergenkamila
0

Ответ:

Ок

Объяснение:

Я 7 клас учу так что тфу ма комектесем

Вас заинтересует