• Предмет: Алгебра
  • Автор: disah087
  • Вопрос задан 7 лет назад

Прошу помочь........

Приложения:

Ответы

Ответ дал: Pig345
0

Ответ:

Объяснение:

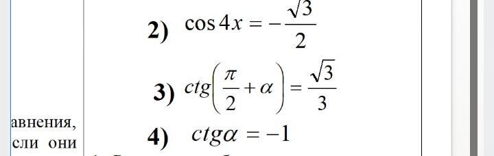
4x=+(-)arccos√3\2 +2 пиn 4x=+(-) пи/6 +2пиn x=+(-)пи/24+ пиn/2 n пинадлежит z

Вас заинтересует