• Предмет: Математика
  • Автор: liliagrigoryan2009
  • Вопрос задан 8 лет назад

СРОЧНО!!!!!!помогите пожалуйста ❗️❗️❗️❗️❗️❗️

Приложения:

Ответы

Ответ дал: nastisecret
0

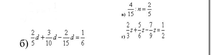
б) 2/5d+3/10d-2/15d= 1/6 = 12d+9-4d= 5 =

d= 5/17.

в) 4/15:n=2/5. =4/15n= 2/5= 20n=30n =

n= 2/3.

г) 2/3z+5/6z-7/9z=1/2 = 12z+15z-14z=9 = 13z=9

z= 9/13.


liliagrigoryan2009: Спасибо большое
Вас заинтересует