• Предмет: Алгебра
  • Автор: gyvhhvvh
  • Вопрос задан 8 лет назад

Помогите!!! Пожалуйста, дайте адекватный ответ с объяснением, а не ,, я так думаю " , ,, наверное " , нужна точность. ​

Приложения:

Ответы

Ответ дал: bena20193
1

Ответ:

Объяснение:

8x⁴-10x²+2=0

Это биквадратное уравнение

ax⁴+bx²+c=0

решается по формуле

x₁₋₄=±√[(-b±√D))/2a]

8x⁴-10x²+2=0 разделим на 2

4x⁴-5x²+1=0

x₁₋₄=±√[(5±√(5²-4*4))/8]=±√[(5±√(25-16))/8]=±√[(5±√9))/8]=±√[(5±3))/8]

x₁=1; x₂=-1 ;x₃=1/2; x₄=-1/2

из того что в ответе 1  - 1  0,5

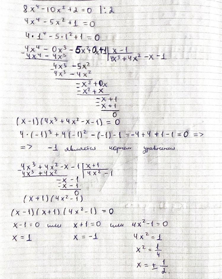
Ответ дал: kvez
1

Ответ: -1; 1; 0,5

Объяснение:

1. Сокращаем на 2:

4х^4 -5х^2 + 1= 0

По т. Безу:

1. ищем для свободного члена уравнения (это 1) делители: это 1 и -1

2. Подставляем в уравнение вместо х эти значения:

4*1^4 - 5*1^2 +1 = 4-5+1= 0, значит 1 является корнем уравнения и мы можем многочлен 4х^4-5х^2+1 разделить на х-1 = 4х^3+4х^2-х-1

3. Запишем в виде произведения:

(х-1)(4х^3+4х^2-х-1)=0

4. Продолжаем раскладывать на множители 4х^3+4х^2-х-1, свободный член = 1, его делители: -1 и 1, подставляем вместо х:

4*1^3+4*1^2-1-1 = 4+4-1-1= 6≠0, следовательно 1 не является корнем уравнения

Подставляем -1:

4* (-1)^3 +4*(-1)^2-(-1)+1 = -4+4+1-1=0, значит -1 является корнем уравнения. Делим многочлен 4х^3+4х^2-х-1 на х+1 = 4х^2-1

Записываем в виде произведения: (х+1)(4х^2-1)

5. Записываем результат разложения на множители: (х-1)(х+1)(4х^2-1)=0

Решаем уравнение:

х-1 = 0 или х+1= или 4х^2-1=0

х=1 х=-1 4х^2 = 1

х^2 = 1/4

х= +- 1/2

Ответ: 1; -1; 1/2 или 0,5; -1/2 или -0,5

Приложения:
Вас заинтересует