• Предмет: Алгебра
  • Автор: sajinov777
  • Вопрос задан 7 лет назад

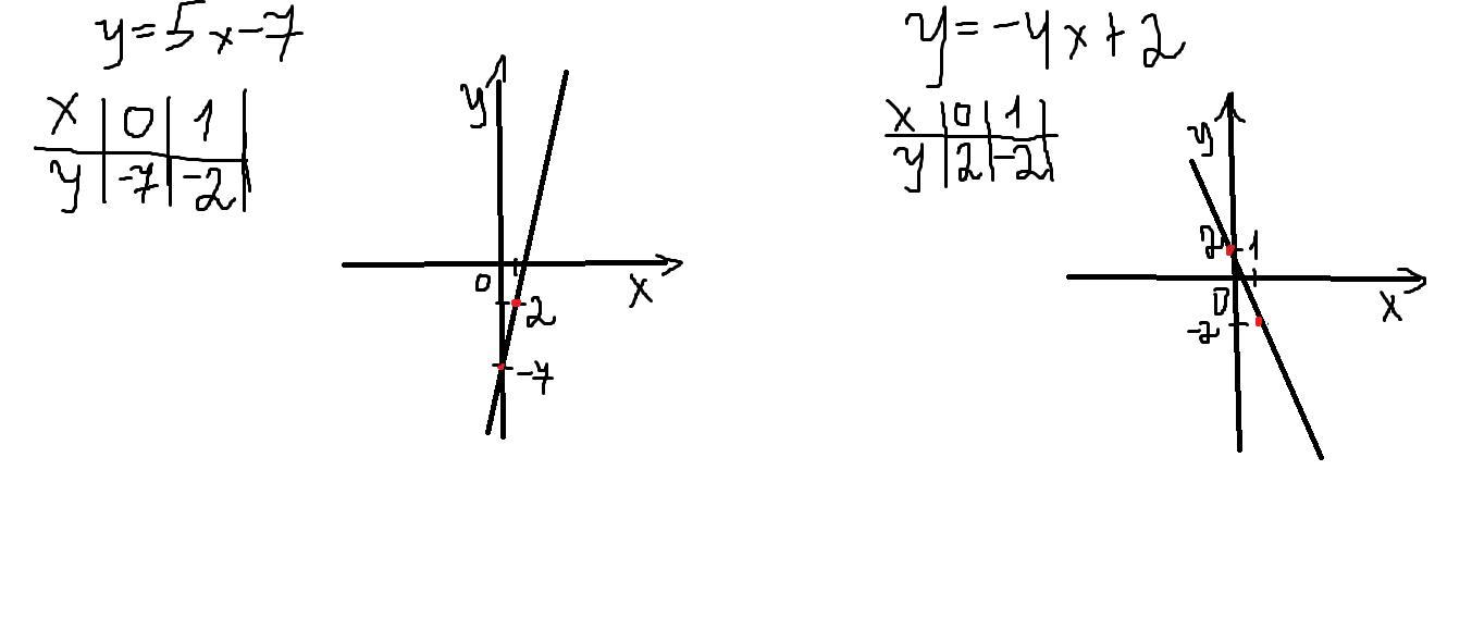
Построй графики функции и определи координаты точки пересечения функций:

y = 5x - 7 и y = -4x + 2

Ответы

Ответ дал: 12fffff2007
3

Ответ:

Объяснение:

Вот ответ

Приложения:

vovademinskiy08: не правильно
12fffff2007: Почему неправильно? Всё правильно тут
Вас заинтересует