• Предмет: Математика
  • Автор: Аноним
  • Вопрос задан 7 лет назад

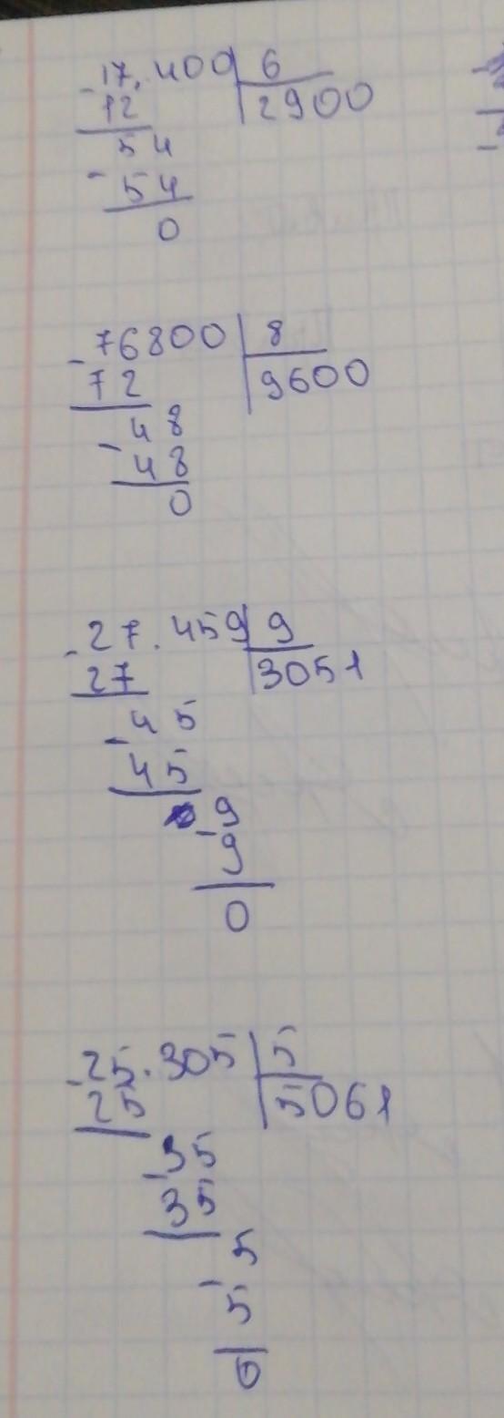
2. Найди частное, проверь вычисления
мощью умножения:
17 400 : 6 | 76 800 : 8 27 459 : 9 25 305 : 5​

Ответы

Ответ дал: klassenalbina06kz
3

воттттт ответ в закрепке

Приложения:

unusabdurahmanov42: НЕ ПРАВЕЛЬНО
Вас заинтересует