• Предмет: Алгебра
  • Автор: brawlrusha
  • Вопрос задан 7 лет назад

ПОМОГИТЕЕЕЕЕЕЕЕЕЕЕЕЕЕЕЕЕЕЕЕЕЕЕЕЕЕЕЕ

Приложения:

Ответы

Ответ дал: Аноним
2

Объяснение:

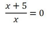
 \frac{x + 5}{x}  = 0 \\  x + 5 = 0 \\ x =  - 5

Ответ дал: handersonanna
0

Ответ:

X = -5

Объяснение:

x+5/x=0

избавляемся от Х, значит умножим обе части на Х

x+5-0

x= -5

Вас заинтересует