• Предмет: Математика
  • Автор: kuzmenkolera
  • Вопрос задан 7 лет назад

Нужно рішить задачу поможіть пожайлуста ​

Приложения:

Ответы

Ответ дал: 99tasha
2

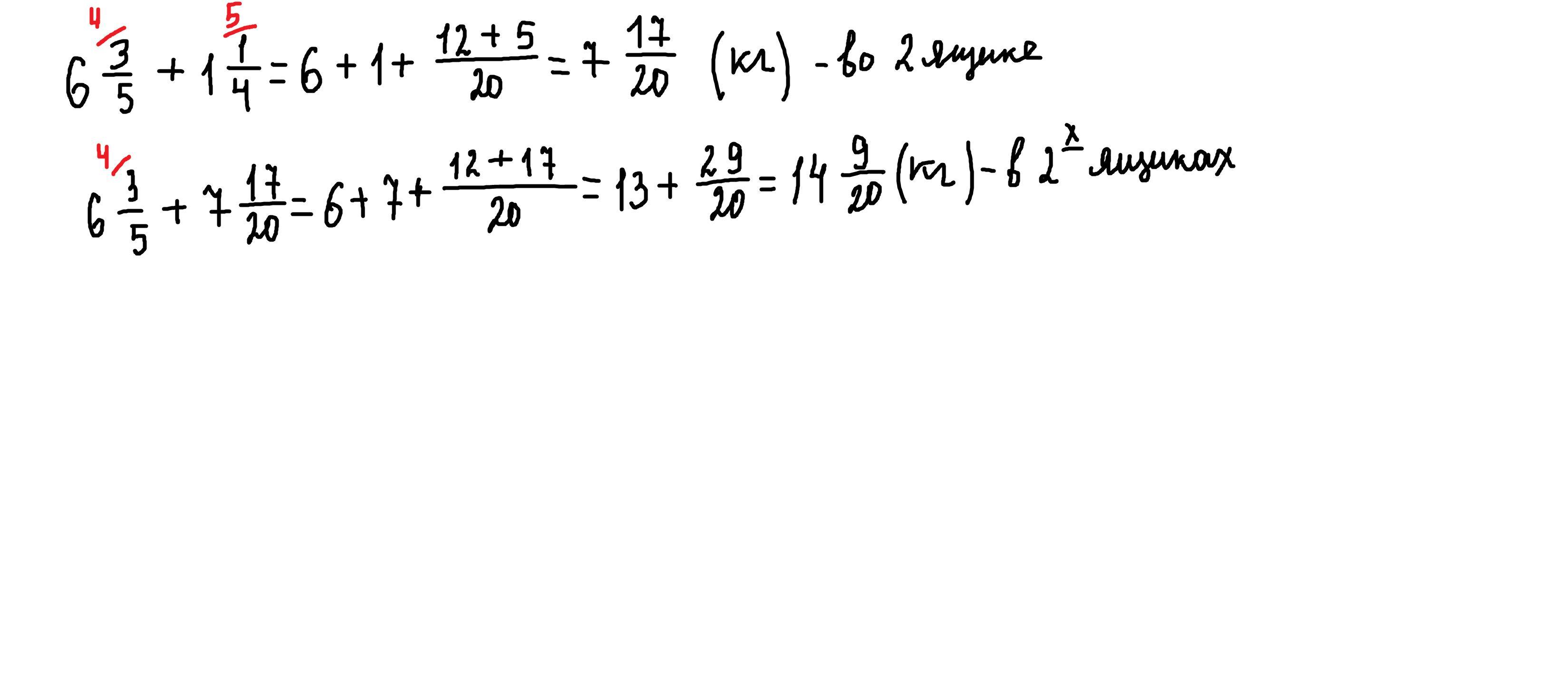
1) 6 3/5+1 1/4=33/5+5/4=132/20+25/20=157/20=7 17/20 кг - в другом

2)6 3/5+7 17/20=132/20+157/20=289/20=14 9/20 кг - в двух

Ответ дал: parus77
2

Ответ:

14 9\20 кг винограда в двух ящиках вместе

Пошаговое объяснение:

Приложения:

Ternov21: https://znanija.com/task/46604087?utm_source=android&utm_medium=share&utm_campaign=question
Ternov21: ,Помогите пожалуйста
parus77: Извини,я это плохо знаю.
Вас заинтересует