Ответы
Ответ дал:
1
Ответ:
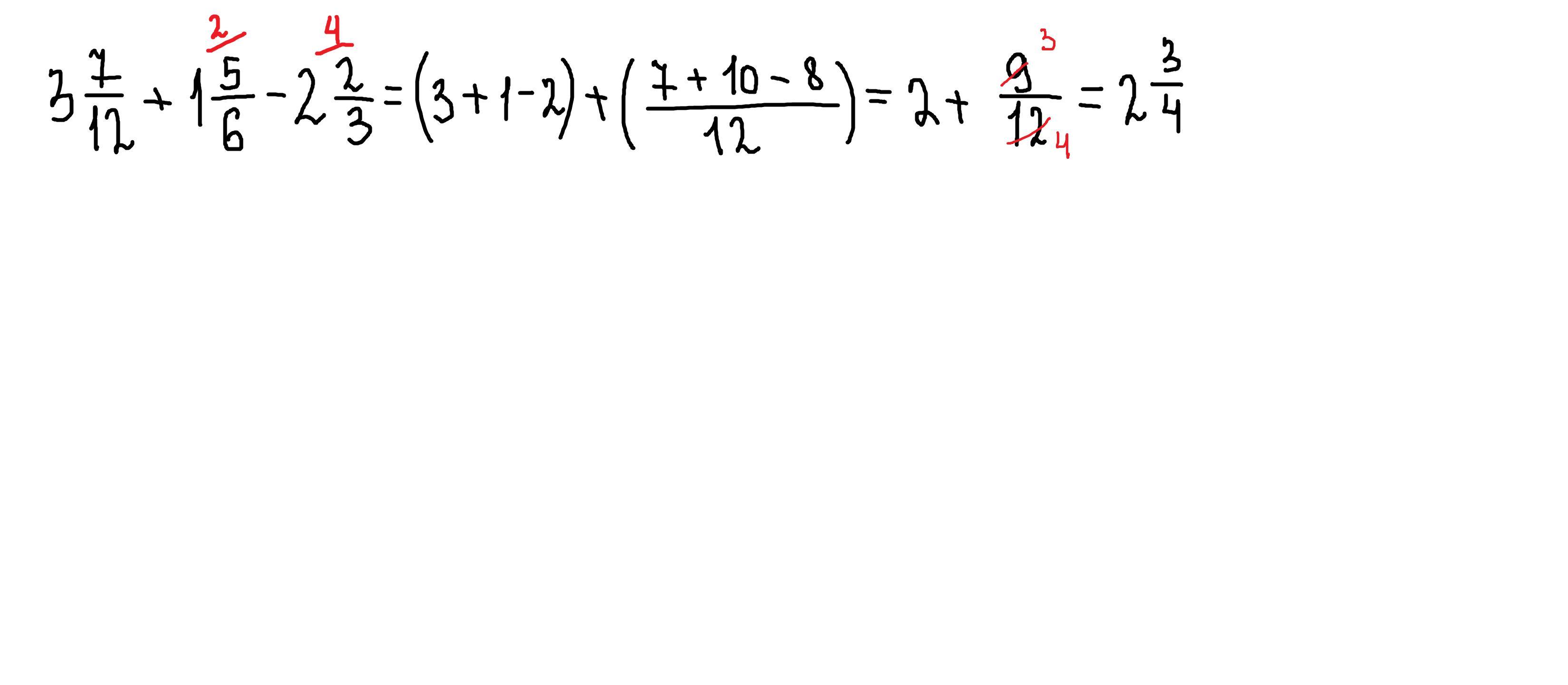
2 3/4
Пошаговое объяснение:
1) 3 7/12 + 1 5/6 = 3 7/12 + 1 10/12 = 4 17/12
2) 4 17/12 - 2 2/3 = 4 17/12 - 2 8/12 = 2 9/12 = 2 3/4
Ответ дал:
0
Ответ:
3 7/12+1 5/6-2 2/3=2 3\4
Пошаговое объяснение:
Приложения:

Вас заинтересует
2 года назад
3 года назад
8 лет назад
9 лет назад