• Предмет: Математика
  • Автор: naila79
  • Вопрос задан 7 лет назад

помогите пожалуйста ​

Приложения:

Ответы

Ответ дал: lveno4k25
1

Ответ:

Пошаговое объяснение:

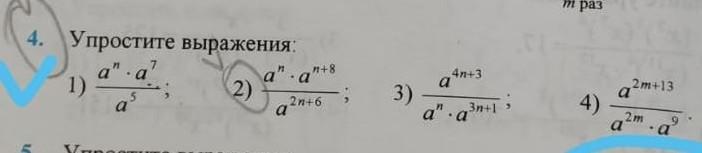
1) а в степени н*а в степени 7\а в степени 5 =а в степени н+7\а в степени 5=а в степени н+7-5= а в степени н+2

2)а в степени н*а в степени н+8\а в степени 2н+6 = а в степени н+н+8\а в степени 2н+6 = а в степени 2н+8\а в степени 2н+6 = а в степени 2н+8-2н-6= а в степени  2

3)а в степени 4н+3\ а в степени н*а в степени 3н+1= а в степени 4н+3\а в степени н+3н+1 = а в степени 4н+3\а в степени 4н+1 = а в степени 4н+3-4н-1=а в степени  2

4)а в степени 2м+13\ а в степени 9*а в степени 2м =а в степени 2м+13\ а в степени 9+2м =а в степени 2м+13-9-2м= а в степени 4

Вас заинтересует