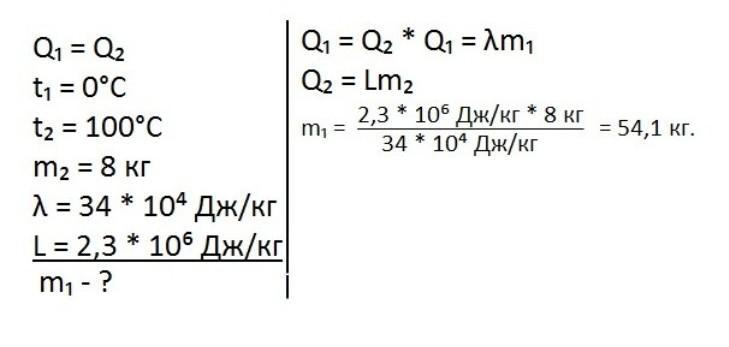
4.2. Скільки льоду, узятого за температури 0 °С, можна перетворити на воду, температура якої 100 °С, за допомогою 200 г водяної пари за температури 100 °С?
Ответы
Ответ дал:
2
Ответ:
54, 1 кг
Объяснение:
Смотри в фотографіи..........
Приложения:

yuriykolesov08021966:
Спасибо большое!)
Вас заинтересует
2 года назад
2 года назад
3 года назад
3 года назад
8 лет назад
8 лет назад