• Предмет: Математика
  • Автор: wwwwzx
  • Вопрос задан 10 лет назад

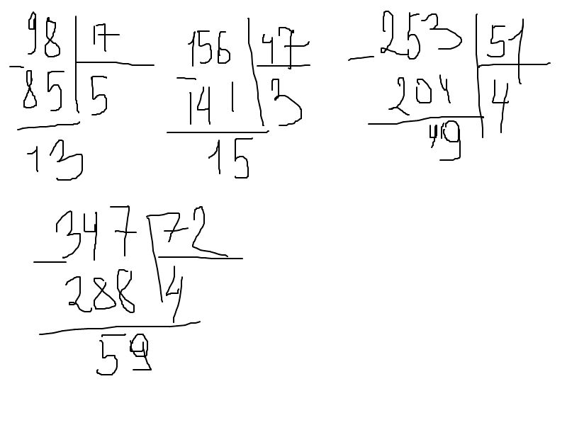
98:17 156:47 253:51 347:72 только в столбик надо режить

Ответы

Ответ дал: 15032
0
как я поняла,то это так делается
Приложения:
Вас заинтересует