• Предмет: Математика
  • Автор: jbyxmtt4fp
  • Вопрос задан 7 лет назад

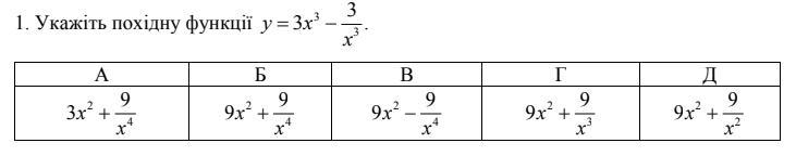
помогите пожалуйста решить

Приложения:

Ответы

Ответ дал: leraburlakova7
0

Ответ:

30шыоылылцлдцдцдцдцжцдцддцдцдцдйдцлф

Вас заинтересует