• Предмет: Математика
  • Автор: dashapolukhinaa
  • Вопрос задан 7 лет назад

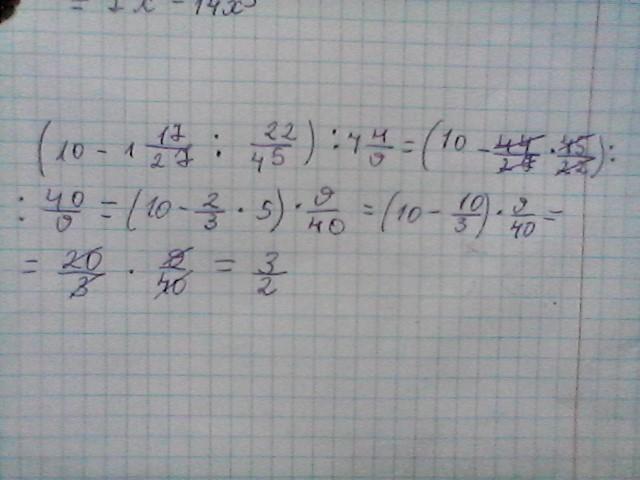
Выполните действия: (10 – 1 17/27 : 22/45) : 4 4/9. По дейстивиям ​

Ответы

Ответ дал: george200850
0

Ответ:

3/2

Пошаговое объяснение:

Приложения:

dashapolukhinaa: спасибо, но ведь я просила по действиям
Ответ дал: tatsach
2

Ответ:

Пошаговое объяснение:

1 17/27:22/45=44/27*45/22=10/3=3 1/3

10-3 1/3=6 2/3

6 2/3:4 4/9=20/3*9/40=3/2=1 1/2

Вас заинтересует