• Предмет: Алгебра
  • Автор: choliii
  • Вопрос задан 10 лет назад

сумма корней уравнения 2x в квадрате+6x=0 равна ?(можно подробно?)

Ответы

Ответ дал: labanka
0
2x выносим за скобку получаем:
2x(x+3)=0
Разбиваем на 2 уравнения:
2х=0              (х+3)=0
х=0                х=-3

Ответ: х=0, х=-3
Ответ дал: labanka
0
Если (2х)^2то так:
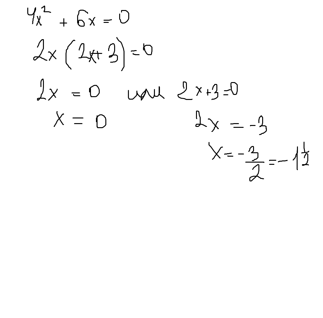
Ответ дал: 15032
0
ВОт правильно как будет 
Приложения:
Ответ дал: 15032
0
Это есл из твоих слов 2х в квадрате,а не х
Вас заинтересует